- 成都優普環保設備工程有限公司
- 電話:183-2853-8768
- 郵箱:1728748202@qq.com
- 網址:cqmfyny.com
- 地址:四川省成都市郫都區成都現代工業港北片區港泰大道38號
當前位置:首頁>>技術文章
| 關于污水處理廠的這個知識你知道嗎? |
| 發布者:成都優普環保設備工程有限公司 發布時間:2019/7/11 點擊次數:3022 |
污泥是污水處理過程的副產物,包括篩余物、沉泥、浮渣和剩余污泥等。污泥體積約占處理水量的0.3%~0.5%左右,如水進行深度處理,污泥量還可能增加0.5~1倍。
一、污水處理污泥分類及特性 1、按成分不同分 污泥:以有機物為主要成分。其主要性質是易于腐化發臭,顆粒較細,比重較小(約為1.02~1.006),含水率高且不易脫水,屬于膠狀結構的親水性物質。初次沉淀池與二次沉淀池的沉淀物均屬污泥。 沉渣:以無機物為主要成分。其主要是顆粒較粗,比重較大(約為2左右),含水率較低且易于脫水,流動性差。沉砂池與某些工業廢水處理沉淀池的沉淀物屬沉渣。 2、按來源不同分 初次沉淀污泥(也稱生污泥或新鮮污泥):來自初次沉淀池。 剩余活性污泥(也稱生污泥或新鮮污泥):來自活性污泥法后的二次沉淀池。 腐殖污泥(也稱生污泥或新鮮污泥):來自生物膜法后的二次沉淀池。 消化污泥(也稱熟污泥):生污泥經厭氧消化或好氧消化處理后的污泥。 化學污泥(也稱化學沉渣):用化學沉淀法處理污水后產生的沉淀物。例如,用混凝沉淀法去除污水中的磷;投加硫化物去除污水中的重金屬離子;投加石灰中和酸性污水產生的沉渣以及酸、堿污水中和處理產生的沉渣等均稱為化學污泥。 3、城市污水廠污泥的特性見表
表:城市污水處理廠污泥的性質和數量 4、污泥中水的存在形式 空隙水,顆粒間隙中的游離水,約70%,可通過重力沉淀(濃縮壓密)而分離; 毛細水,是在高度密集的細小污泥顆粒周圍的水,由毛細管現象而形成的,約20%,可通過施加離心力、負壓力等外力,破壞毛細管表面張力和凝聚力的作用力而分離; 顆粒表面吸附水和內部結合水,約10%。表面吸附水是在污泥顆粒表面附著的水分,起附著力較強,常在膠體狀顆粒,生物污泥等固體表面上出現,采用混凝方法,通過膠體顆粒相互絮凝,排除附著表面的水分;內部結合水,是污泥顆粒內部結合的水分,如生物污泥中細胞內部水分,無機污泥中金屬化合物所帶的結晶水等,可通過生物分離或熱力方法去除。 通常含水率在85%以上時,污泥呈流態;65%~85%時呈塑態;低于60%時則呈固態。 二、城市污水廠產泥的計算 城市污水處理產生的污泥主要是初沉池污泥和活性污泥(剩余污泥量),計算方法如下: 1、初沉污泥體積流量V1
式中: Q——污水流量,取污水廠的平均日流量,m 3 /d; C——進入初沉池污水中懸浮物濃度,kg/m 3 ; η ——初沉池沉淀效率(城市污水廠一般取50%),%; P1——污泥含水率(一般取95%-97%),%; ρ ——初沉池污泥濃度(以1000kg/m 3 計),kg/m 3 。 或者按下面公式計算:
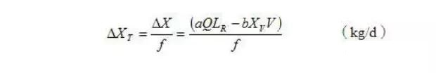
式中: SL——每人每日污泥量[按每人每日計產生的初沉污泥量為 14-27g,初沉污泥含水率以 95%-97%計,則每人每日產生初沉污泥量一般采用0.3-0.8L/(人·d)],L/(人·d); N——設計人口數(可采用城市人口數或污水處理廠設計當量人口數),人; t——初沉池兩次排泥的間隔時間,d。 應注意V1 是計算公式中所取定含水率P1 時的污泥量。 2、剩余污泥體積流量V2 (1)剩余污泥干質量Δ XT 每日排除剩余污泥干重Δ XT(kg/d)等于活性污泥系統中每日產生的活性污泥干質量。
式中: Δ X——揮發性物質基污水廠剩余污泥流量,kg/d; Q——平均體積流量,m 3 /d; a、b——污泥產率系數和污泥自身氧率,以生活污水為主的城市污水,一般為0.5-0.6,為0.06-0.1/d; LR——曝氣池進水BOD5 濃度差,kg/m 3 ; XV——曝氣池混合液揮發性懸浮物固體濃度,kg/m 3 ; V——曝氣池容積,m 3 ; f——曝氣池揮發性懸浮固體和懸浮固體濃度值比, (2)剩余污泥的體積量V2
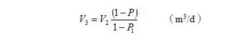
式中: P 為剩余污泥含水率,取99.2%-96%。 3、濃縮剩余污泥體積流量V3
式中: V2——濃縮前的污泥量; P,P1——濃縮前、后的污泥含水率,可分別取99.2%和96%。 |
| 上一條:一體化污水提升泵站的設計標準 | 下一條:醫院污水處理工藝介紹與選擇 |











